Gate EC-2013 Question Paper With Solutions

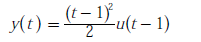
Q. 8 The impulse response of a system is h(t)= t(t). For an input u^t – 1h, the output is
Gate EC-2013 Question Paper With Solutions
Answer: C

Explanation:
Gate EC-2013 Question Paper With Solutions

Gate EC-2013 Question Paper With Solutions

Learn More:   Gate EC-2016 - 1 Question Paper With Solutions

LEAVE A REPLY

Please enter your comment!
Please enter your name here