Gate EC-2013 Question Paper With Solutions

Q. 52 Gate EC-2013 Question Paper With Solutions

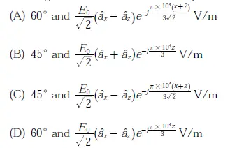
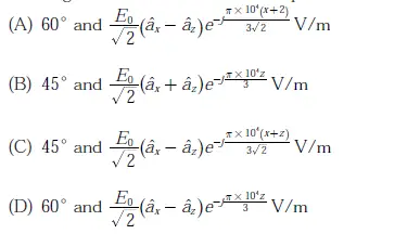
The angle of incidence qi and the expression forGate EC-2013 Question Paper With Solutions are

Gate EC-2013 Question Paper With Solutions
Gate EC-2013 Question Paper With Solutions
Answer: C

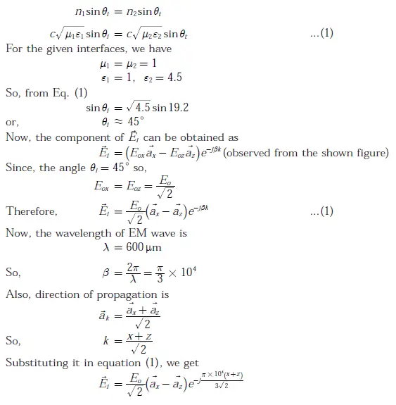
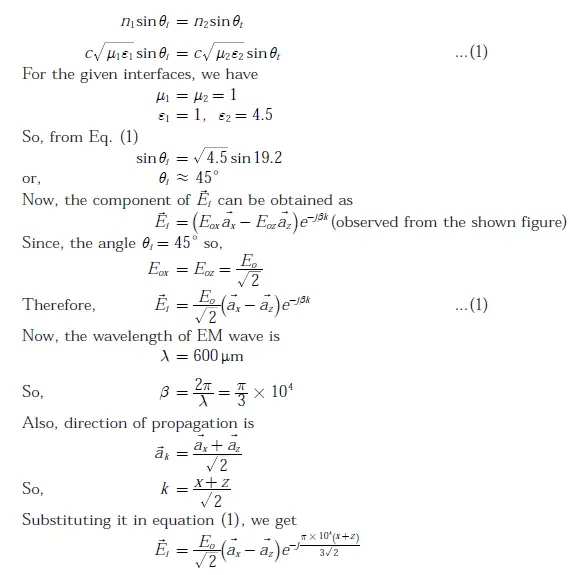
Explanation:

Gate EC-2013 Question Paper With Solutions Gate EC-2013 Question Paper With SolutionsGate EC-2013 Question Paper With Solutions

Learn More:   Gate CS-2016-1 Question Paper With Solutions

LEAVE A REPLY

Please enter your comment!
Please enter your name here