Gate EC-2013 Question Paper With Solutions

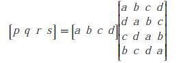
Q. 39 The DFT of a vector [a b c d] is the vector Gate EC-2013 Question Paper With Solutions. Consider the product
Gate EC-2013 Question Paper With Solutions
The DFT of the vector [p q r s] is a scaled version of
Gate EC-2013 Question Paper With Solutions

Answer: A

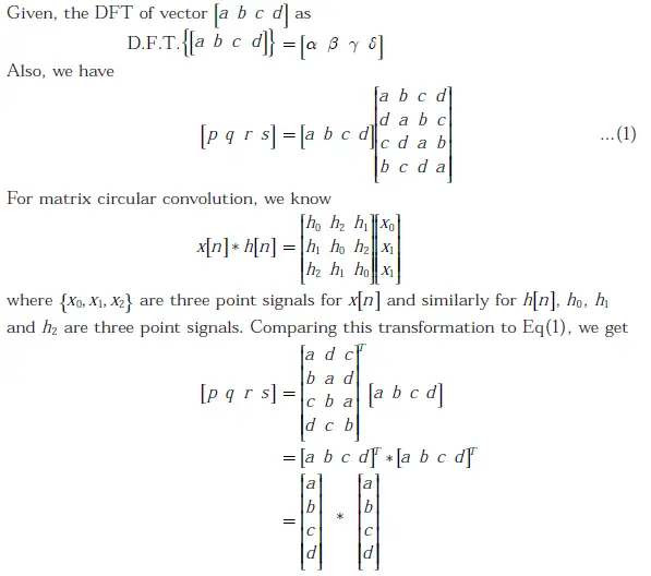
Explanation:

Gate EC-2013 Question Paper With Solutions
Gate EC-2013 Question Paper With Solutions

Learn More:   Gate CS-2014-3 Question Paper With Solutions

LEAVE A REPLY

Please enter your comment!
Please enter your name here