Gate EC-2013 Question Paper With Solutions

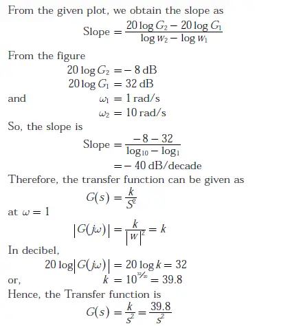
Q. 9 The Bode plot of a transfer function G^s h is shown in the figure below.

Gate EC-2013 Question Paper With Solutions
The gain Gate EC-2013 Question Paper With Solutionsrespectively. The phase is negative for all Gate EC-2013 Question Paper With Solutions. Then G(s) is
Gate EC-2013 Question Paper With Solutions

Answer: B

Explanation:

Gate EC-2013 Question Paper With Solutions

Learn More:   Gate EC-2015 - 3 Question Paper With Solutions

LEAVE A REPLY

Please enter your comment!
Please enter your name here