Gate EC-2013 Question Paper With Solutions

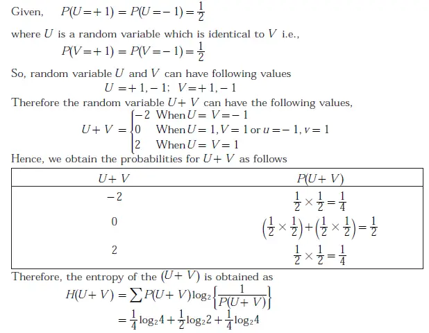
Q. 47 Let U and V be two independent and identically distributed random variables such thatGate EC-2013 Question Paper With Solutions . The entropy H(U + V) in bits is

(A) 3/4

(B) 1

(C) 3/2

(D) Gate EC-2013 Question Paper With Solutions

Answer: C

Explanation:
Gate EC-2013 Question Paper With Solutions

Gate EC-2013 Question Paper With Solutions

Learn More:   Gate EC-2016 - 1 Question Paper With Solutions

LEAVE A REPLY

Please enter your comment!
Please enter your name here