Gate EE-2006 Question Paper With Solutions

Q. 33 Gate EE-2006 Question Paper With Solutions

 

Answer:(B)

Explanation:

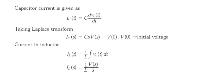
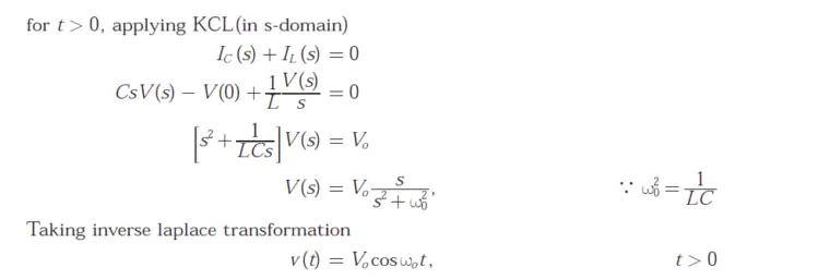
Gate EE-2006 Question Paper With Solutions

Gate EE-2006 Question Paper With Solutions Gate EE-2006 Question Paper With Solutions

Learn More:   Gate EE-2012 Question Paper With Solutions

LEAVE A REPLY

Please enter your comment!
Please enter your name here