Gate EE-2006 Question Paper With Solutions

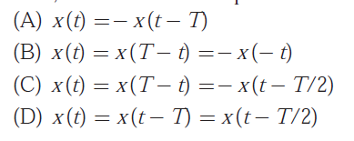
Q. 2 x(t) is a real valued function of a real variable with period T. Its trigonometric Fourier Series expansion contains no terms of frequency  Gate EE-2006 Question Paper With SolutionsAlso, no sine terms are present. Then x(t) satisfies the equation

Gate EE-2006 Question Paper With Solutions

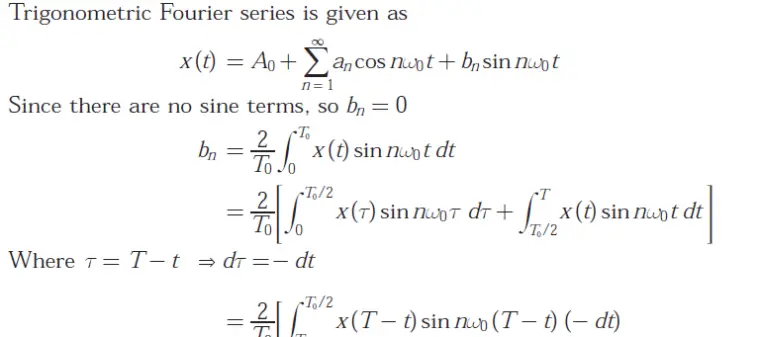
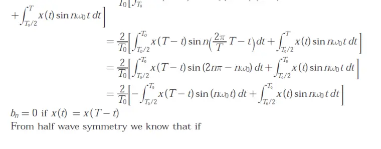
Answer:(C)

Explanation:

Gate EE-2006 Question Paper With SolutionsGate EE-2006 Question Paper With SolutionsGate EE-2006 Question Paper With SolutionsGate EE-2006 Question Paper With Solutions

Learn More:   Gate ME 2014-4 Question Paper With Solutions

LEAVE A REPLY

Please enter your comment!
Please enter your name here