Gate EE-2006 Question Paper With Solutions

Q. 21. letGate EE-2006 Question Paper With Solutions is the input and

Gate EE-2006 Question Paper With Solutionsis the out of a

discrete time LTI system.The system impulse reponse h[n] will be

Gate EE-2006 Question Paper With Solutions

Answer:(A)

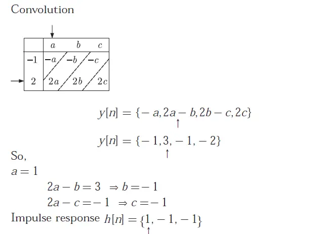
Explanation:

Gate EE-2006 Question Paper With SolutionsGate EE-2006 Question Paper With Solutions

Learn More:   Gate CS-2017-2 Question Paper With Solutions

LEAVE A REPLY

Please enter your comment!
Please enter your name here