Gate ME 2015-1 Question Paper With Solutions

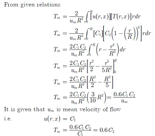
Q. 61 For flow through a pipe of radius R, the velocity and temperature distribution
are as follows:

Gate ME 2015-1 Question Paper With Solutions

Gate ME 2015-1 Question Paper With Solutions

Answer: (C)

Explanation:

Gate ME 2015-1 Question Paper With Solutions

Learn More:   Gate CS-2005 Question Paper With Solutions

LEAVE A REPLY

Please enter your comment!
Please enter your name here