Gate ME 2015-1 Question Paper With Solutions

Q. 42 Match the following pairs:

Gate ME 2015-1 Question Paper With Solutions

(A) P-IV, Q-I, R-II, S-III

(B) P-IV, Q-III, R-I, S-II

(C) P-III, Q-I, R-IV, S-II

(D) P-III, Q-I, R-II, S-IV

Answer: (C)

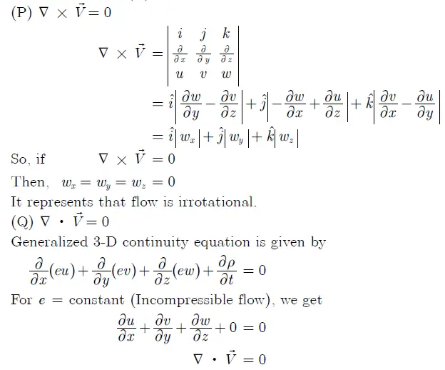
Explanation:

Gate ME 2015-1 Question Paper With Solutions

Gate ME 2015-1 Question Paper With Solutions

Learn More:   Gate ME-2019-2 Question Paper With Solutions

LEAVE A REPLY

Please enter your comment!
Please enter your name here