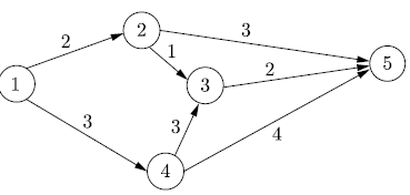
Q. 60 Following data refers to the activities of a project, where node 1 refers to the start
and node 5 refers to the end of the project
The critical path (CP) in the network is
(A) 1-2-3-5
(B) 1-4-3-5
(C) 1-2-3-4-5
(D) 1-4-5
Answer: (B)
Explanation:














