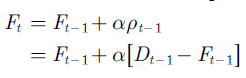
Q. 45 For a canteen, the actual demand for disposable cups was 500 units in January
and 600 units in February. The forecast for the month of January was 400 units.
The forecast for the month of March considering smoothing coefficient as 0.75 is
_______
Answer: (569)
Explanation:















