Gate ME 2015-1 Question Paper With Solutions

Q. 55Gate ME 2015-1 Question Paper With Solutions
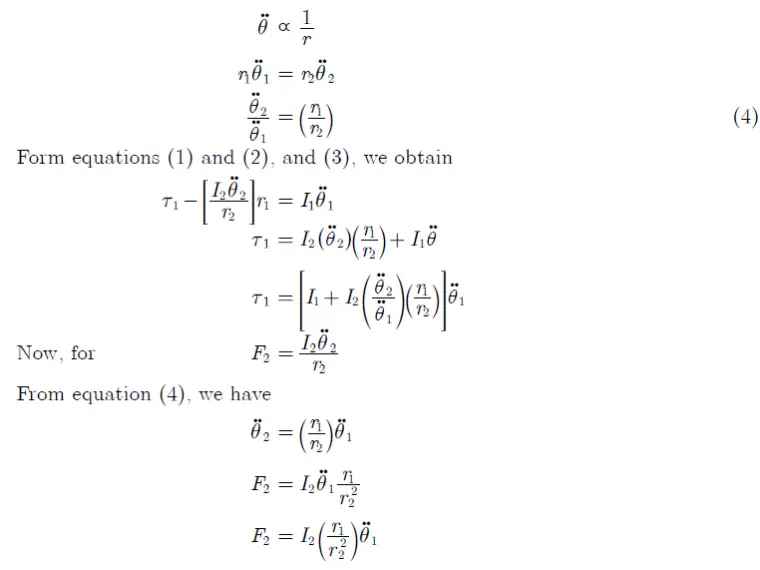
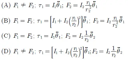
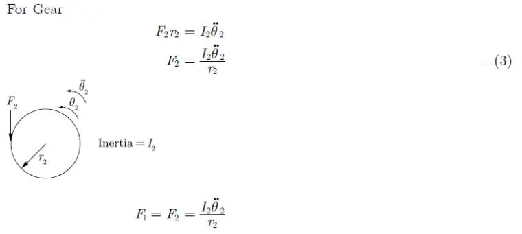
Gate ME 2015-1 Question Paper With Solutions
Gate ME 2015-1 Question Paper With Solutions
Answer: (B)

Explanation:

Gate ME 2015-1 Question Paper With Solutions

Gate ME 2015-1 Question Paper With Solutions

Gate ME 2015-1 Question Paper With Solutions

Learn More:   Gate ME-2020-1 Question Paper With Solutions

LEAVE A REPLY

Please enter your comment!
Please enter your name here