Gate ME 2015-1 Question Paper With Solutions

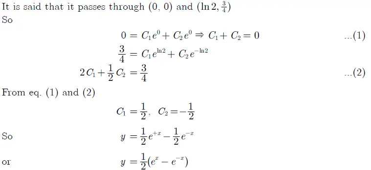
Q. 50 Fine the solution of Gate ME 2015-1 Question Paper With Solutions which passes through the origin and the point Gate ME 2015-1 Question Paper With Solutions
Gate ME 2015-1 Question Paper With Solutions

Answer: (C)

Explanation:

Gate ME 2015-1 Question Paper With Solutions

Gate ME 2015-1 Question Paper With Solutions

Learn More:   Gate EC-2010 Question Paper With Solutions

LEAVE A REPLY

Please enter your comment!
Please enter your name here