Gate ME 2015-1 Question Paper With Solutions

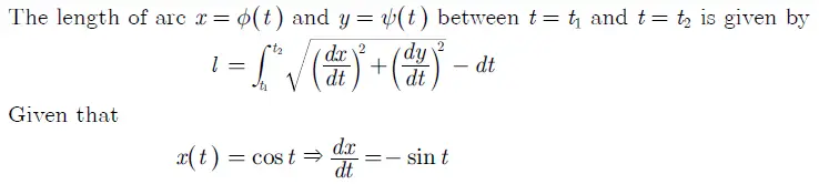
Q. 46 Consider a spatial curve in three-dimensional space given in parametric form by
Gate ME 2015-1 Question Paper With Solutions
The length of the curve is_______

Answer: (1.862)

Explanation:

Gate ME 2015-1 Question Paper With Solutions

Gate ME 2015-1 Question Paper With Solutions

Learn More:   Gate ME 2015-3 Question Paper With Solutions

LEAVE A REPLY

Please enter your comment!
Please enter your name here