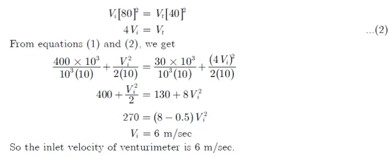
Q. 44 Water flows through a venturimeter with inlet diameter 80 mm and throat diameter 40 mm. The inlet and throat gauge pressures are measured to
be 400 kPa and 130 kPa respectively. Assuming the venturimeter to be horizontal
and neglecting friction, the inlet velocity (in m/s) is_______.
Answer: (6)
Explanation:














