Gate ME-2010 Question Paper With Solutions

Q 5.

Gate ME-2010 Question Paper With Solutions
Answer: (C)

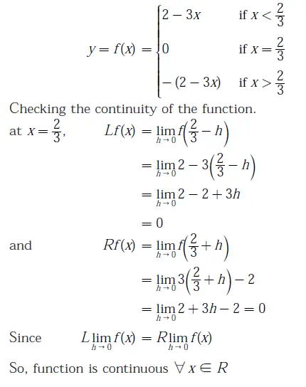
Explanation:

Gate ME-2010 Question Paper With Solutions

Gate ME-2010 Question Paper With Solutions

Learn More:   Gate EE-2006 Question Paper With Solutions

LEAVE A REPLY

Please enter your comment!
Please enter your name here