Gate ME-2010 Question Paper With Solutions

Q 28. Gate ME-2010 Question Paper With Solutions
Gate ME-2010 Question Paper With Solutions
Answer: (D)

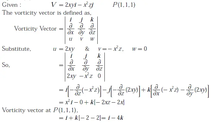
Explanation:

Gate ME-2010 Question Paper With Solutions Gate ME-2010 Question Paper With Solutions

Learn More:   Gate EC-2003 Question Paper With Solutions

LEAVE A REPLY

Please enter your comment!
Please enter your name here