Gate ME-2010 Question Paper With Solutions

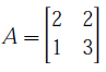
Q 27. One of the eigen vectors of the matrixGate ME-2010 Question Paper With Solutions is
Gate ME-2010 Question Paper With Solutions

Answer: (A)

Explanation:

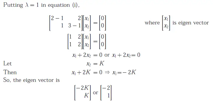
Gate ME-2010 Question Paper With Solutions

Gate ME-2010 Question Paper With Solutions

Gate ME-2010 Question Paper With Solutions

Learn More:   Gate EC-2016 - 3 Question Paper With Solutions

LEAVE A REPLY

Please enter your comment!
Please enter your name here