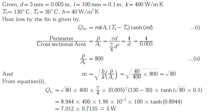
Q 41. A fin has 5 mm diameter and 100 mm length. The thermal conductivity of fin material is . One end of the fin is maintained at 130℃ and its remaining surface is exposed to ambient air at 30℃. If the convective heat transfer coefficient is
the heat loss (in W) from the fin is
(A) 0.08
(B) 5.0
(C) 7.0
(D) 7.8
Answer: (B)
Explanation:












