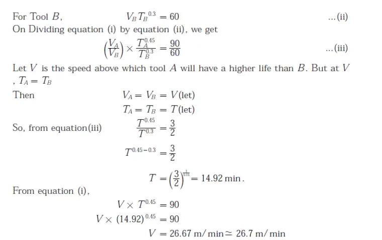
Q 44. For tool A, Taylor’s tool life exponent (n) is 0.45 and constant (K) is 90. Similarly for tool B, n = 0.3 and K = 60. The cutting speed (in m/mm) above which tool A will have a higher tool life than tool B is
(A) 26.7
(B) 42.5
(C) 80.7
(D) 142.9
Answer: (A)
Explanation:













