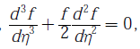
Q 2. The Blasius equation,
(A) second order nonlinear ordinary differential equation
(B) third order nonlinear ordinary differential equation
(C) third order linear ordinary differential equation
(D) mixed order nonlinear ordinary differential equation
Answer: (B)
Explanation:












