Gate ME-2010 Question Paper With Solutions

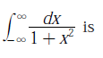
Q 3. The value of the integral isGate ME-2010 Question Paper With Solutions

Gate ME-2010 Question Paper With Solutions

Answer: (D)

Explanation:

Gate ME-2010 Question Paper With Solutions

Gate ME-2010 Question Paper With Solutions

Learn More:   Gate EE-2012 Question Paper With Solutions

LEAVE A REPLY

Please enter your comment!
Please enter your name here