Gate ME-2010 Question Paper With Solutions

Q 29. The Laplace transform of a function isGate ME-2010 Question Paper With Solutions
Gate ME-2010 Question Paper With Solutions

Answer: (A)

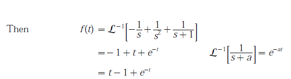
Explanation:

Gate ME-2010 Question Paper With Solutions

Gate ME-2010 Question Paper With Solutions

Learn More:   Gate ME-2012 Question Paper With Solutions

LEAVE A REPLY

Please enter your comment!
Please enter your name here