Gate EC-2007 Question Paper With Solutions

Q. 80  Gate EC-2007 Question Paper With Solutions

The eigenvalue and eigenvector pairs Gate EC-2007 Question Paper With Solutions for the system are

Gate EC-2007 Question Paper With Solutions

Answer:   (A) 

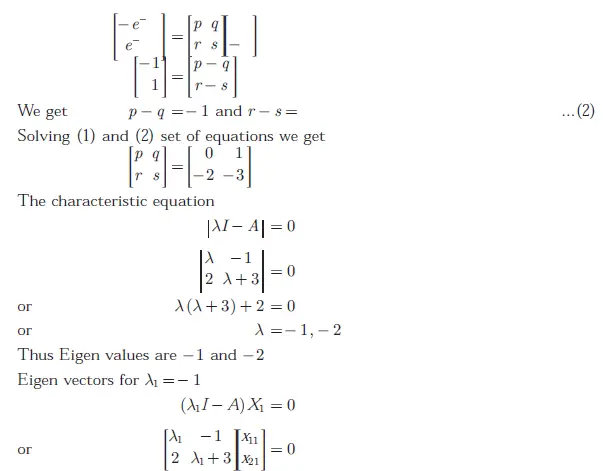
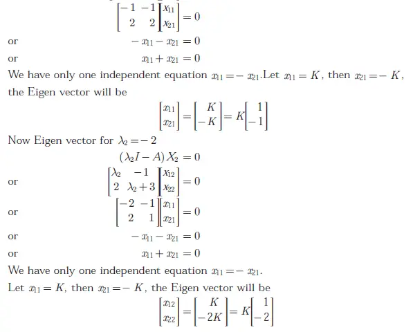
Explanation:

Gate EC-2007 Question Paper With Solutions Gate EC-2007 Question Paper With Solutions Gate EC-2007 Question Paper With Solutions

Learn More:   Gate ME-2010 Question Paper With Solutions

LEAVE A REPLY

Please enter your comment!
Please enter your name here