Gate EC-2007 Question Paper With Solutions

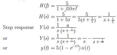
Q. 49 The frequency response of a linear, time-invariant system is given by Gate EC-2007 Question Paper With Solutions The step response of the system is

Gate EC-2007 Question Paper With Solutions
Answer: (B)

Explanation:

Gate EC-2007 Question Paper With Solutions

Learn More:   Gate ME-2007 Question Paper With Solutions

LEAVE A REPLY

Please enter your comment!
Please enter your name here