Gate EC-2007 Question Paper With Solutions

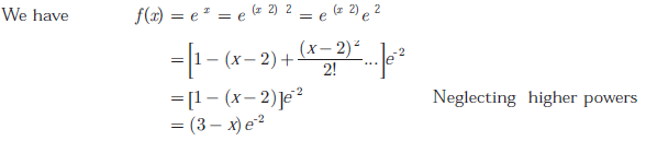
Q. 6 For the functionGate EC-2007 Question Paper With Solutions the linear approximation around x = 2 is

Gate EC-2007 Question Paper With Solutions
Answer: Hence (A) is correct answer.

Explanation:

Gate EC-2007 Question Paper With Solutions

Learn More:   Gate ME-2016-2 Question Paper With Solutions

LEAVE A REPLY

Please enter your comment!
Please enter your name here