Gate EC-2007 Question Paper With Solutions

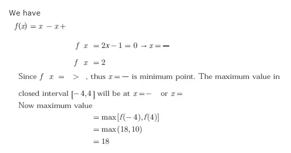
Q. 22 Consider the function f (x) = x− x −. The maximum value of f (x) in the closed interval [− 4, 4] is

(A) 18

(B) 10

(C) −225

(D) indeterminate

Answer:   (A)

Explanation:

Gate EC-2007 Question Paper With Solutions

Learn More:   Gate EC-2015 - 2 Question Paper With Solutions

LEAVE A REPLY

Please enter your comment!
Please enter your name here