Gate EC-2007 Question Paper With Solutions

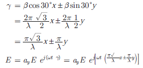
Q. 19 A plane wave of wavelength λ is traveling in a direction making an angle Gate EC-2007 Question Paper With Solutionswith positive x − axis and Gate EC-2007 Question Paper With Solutions with positive y − axis. TheGate EC-2007 Question Paper With Solutions field of the plane wave can be represented as (E is constant)

Gate EC-2007 Question Paper With Solutions

Answer:    (A)

Explanation:

Gate EC-2007 Question Paper With Solutions

Learn More:   Gate EC-2017-1 Question Paper With Solutions

LEAVE A REPLY

Please enter your comment!
Please enter your name here