Gate EC-2007 Question Paper With Solutions

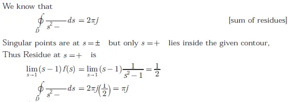
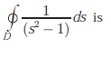
Q. 27 If the semi-circular control D of radius 2 is as shown in the figure, then the value of the integral Gate EC-2007 Question Paper With Solutions

Gate EC-2007 Question Paper With Solutions

Answer:   (A)

Explanation:

Gate EC-2007 Question Paper With Solutions

Learn More:   Gate CS-2014-1 Question Paper With Solutions

LEAVE A REPLY

Please enter your comment!
Please enter your name here