Gate EC-2007 Question Paper With Solutions

Q. 72 Gate EC-2007 Question Paper With Solutions

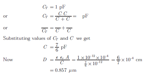
The maximum depletion layer width in silicon is
Gate EC-2007 Question Paper With Solutions

Answer:  (B) 

Explanation:

Gate EC-2007 Question Paper With Solutions

Gate EC-2007 Question Paper With Solutions

Learn More:   Gate EE-2017-1 Question Paper With Solutions

LEAVE A REPLY

Please enter your comment!
Please enter your name here