Gate EC-2007 Question Paper With Solutions

Q. 74 Gate EC-2007 Question Paper With Solutions

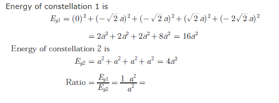
The if ratio or the average energy of Constellation 1 to the average energy of Constellation 2 is

(A)Gate EC-2007 Question Paper With Solutions

(B) 4

(C) 2

(D) 8

Answer:  (B).

Explanation:
Gate EC-2007 Question Paper With Solutions

Learn More:   Gate ME-2017-2 Question Paper With Solutions

LEAVE A REPLY

Please enter your comment!
Please enter your name here