Gate EC-2007 Question Paper With Solutions

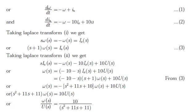
Q. 57 The state space representation of a separately excited DC servo motor dynamics is given as
Gate EC-2007 Question Paper With Solutions

Answer:   (A) 

Explanation:

Gate EC-2007 Question Paper With Solutions Gate EC-2007 Question Paper With Solutions

Learn More:   Gate CS-2015-3 Question Paper With Solutions

LEAVE A REPLY

Please enter your comment!
Please enter your name here