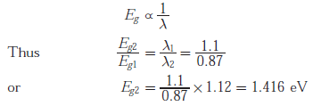
Q. 43 The longest wavelength that can be absorbed by silicon, which has the bandgap of If the longest wavelength that can be absorbed by another material is
, then bandgap of this material is
(A) 1.416 A/cm2
(B) 0.886 eV
(C) 0.854 eV
(D) 0.706 eV
Answer: (A)
Explanation:












