Gate EC-2004 Question Paper With Solutions

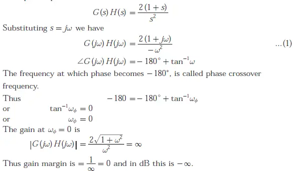
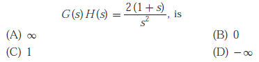
Q. 23 The gain margin for the system with open-loop transfer function
Gate EC-2004 Question Paper With Solutions
Answer:  (D)

Explanation:

Gate EC-2004 Question Paper With Solutions

Gate EC-2004 Question Paper With Solutions

Learn More:   Gate CS-2004 Question Paper With Solutions

LEAVE A REPLY

Please enter your comment!
Please enter your name here