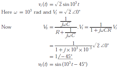
Q. 4 For the circuit shown in the figure, the time constant RC = 1 ms. The input voltage is The output voltage
is equal to

Answer: (A)
Explanation:
Q. 4 For the circuit shown in the figure, the time constant RC = 1 ms. The input voltage is The output voltage
is equal to

Answer: (A)
Explanation: