Gate EC-2004 Question Paper With Solutions

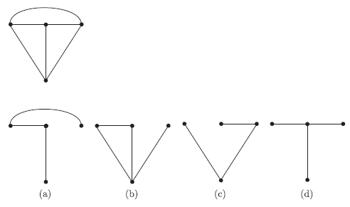
Q. 1 Consider the network graph shown in the figure. Which one of the following is NOT a ‘tree’ of this graph ?

Gate EC-2004 Question Paper With Solutions
(A) a

(B) b

(C) c

(D) d

Answer:   (B)

Explanation:

Gate EC-2004 Question Paper With Solutions

Learn More:   Gate EC-2015 - 1 Question Paper With Solutions

LEAVE A REPLY

Please enter your comment!
Please enter your name here