Gate EC-2004 Question Paper With Solutions

Q. 20 The distribution functionGate EC-2004 Question Paper With Solutions of a random variable x is shown in the figure. The probability that X = 1 is

Gate EC-2004 Question Paper With Solutions

(A) zero

(B) 0.25

(C) 0.55

(D) 0.30

Answer:   (D) 

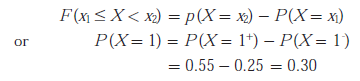
Explanation:

Gate EC-2004 Question Paper With Solutions

Learn More:   Gate EE-2018 Question Paper With Solutions

LEAVE A REPLY

Please enter your comment!
Please enter your name here