Q 1. Stokes theorem connects
(A) a line integral and a surface integral
(B) a surface integral and a volume integral
(C) a line integral and a volume integral
(D) gradient of function and its surface integral
Answer: (A)
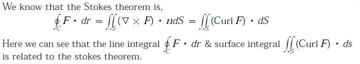
Explanation:
Q 1. Stokes theorem connects
(A) a line integral and a surface integral
(B) a surface integral and a volume integral
(C) a line integral and a volume integral
(D) gradient of function and its surface integral
Answer: (A)
Explanation: