Gate ME-2005 Question Paper With Solutions

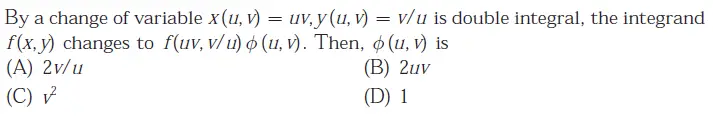
Q 33. Gate ME-2005 Question Paper With Solutions

Answer: (A)

Explanation:

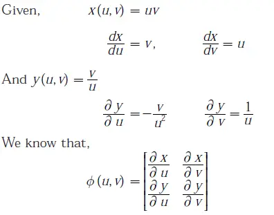
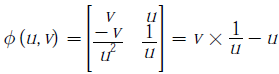
Gate ME-2005 Question Paper With Solutions

Gate ME-2005 Question Paper With Solutions

Learn More:   Gate ME-2016-1 Question Paper With Solutions

LEAVE A REPLY

Please enter your comment!
Please enter your name here