Gate ME-2005 Question Paper With Solutions

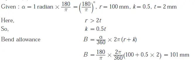
Q 66. A2 mm thick metal sheet is to be bent at an angle of one radian with a bend radius of 100 mm If the stretch factor is 0.5, the bend allowance is

Gate ME-2005 Question Paper With Solutions
(A) 99mm

(B) 100mm

(C) 101mm

(D) 102mm

Answer: (C)

Explanation:

Gate ME-2005 Question Paper With Solutions

Learn More:   Gate CS-2013 Question Paper With Solutions

LEAVE A REPLY

Please enter your comment!
Please enter your name here