Gate EC-2004 Question Paper With Solutions

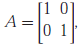
Q. 73 Given Gate EC-2004 Question Paper With Solutions the state transition matrix eAt is given by

Gate EC-2004 Question Paper With Solutions

Answer:   (B)

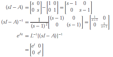
Explanation:

Gate EC-2004 Question Paper With Solutions

Learn More:   Gate CS-2010 Question Paper With Solutions

LEAVE A REPLY

Please enter your comment!
Please enter your name here