Gate EC-2004 Question Paper With Solutions

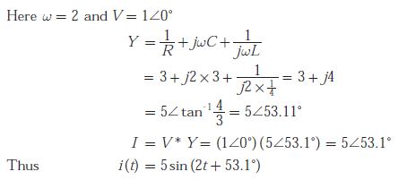
Q. 3 The circuit shown in the figure, with Gate EC-2004 Question Paper With Solutions and C = 3 F has input voltage v(t) = sin2t . The resulting current i (t) is

Gate EC-2004 Question Paper With Solutions

Gate EC-2004 Question Paper With Solutions

Answer: (A) 

Explanation:

Gate EC-2004 Question Paper With Solutions

Learn More:   Gate EC-2015 - 1 Question Paper With Solutions

LEAVE A REPLY

Please enter your comment!
Please enter your name here