Q 20. Consider one-dimensional steady state heat conduction along x -axis through a plane wall with the boundary surfaces
maintained
at temperatures of Heat is generated uniformly throughout the
wall. Choose the Correct statement.
(A) The direction of heat transfer will be from the surface at to the
surface at
(B) The maximum temperature inside the wall must be greater than
(C) The temperature distribution is linear within the wall.
(D) The temperature distribution is symmetric about the mid-plane of the wall.
Answer: (B)
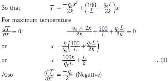
Explanation:















