Gate ME-2013 Question Paper With Solutions

Q 38.   Gate ME-2013 Question Paper With Solutions
Answer: (B)

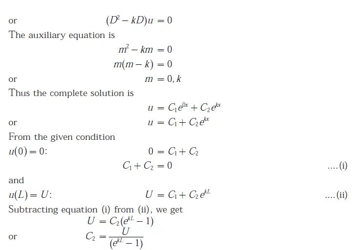
Explanation:

Gate ME-2013 Question Paper With Solutions

Gate ME-2013 Question Paper With Solutions

Gate ME-2013 Question Paper With Solutions

Learn More:   Gate EC-2017-2 Question Paper With Solutions

LEAVE A REPLY

Please enter your comment!
Please enter your name here