Gate ME-2013 Question Paper With Solutions

Q 37.

Gate ME-2013 Question Paper With Solutions

Answer: (C )

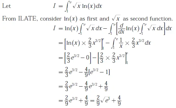
Explanation:

Gate ME-2013 Question Paper With Solutions

Learn More:   Gate ME 2015-1 Question Paper With Solutions

LEAVE A REPLY

Please enter your comment!
Please enter your name here