Q 34. Water is coming out from a tap and falls vertically downwards. At the tap opening,
the stream diameter is 20 mm with uniform velocity of 2m/s. Acceleration due
to gravity is . Assuming steady, inviscid flow, constant atmospheric
pressure everywhere and neglecting curvature and surface tension effects, the
diameter in mm of the stream 0.5 m below the tap is approximately.
(A) 10
(B) 15
(C) 20
(D) 25
Answer: (B )
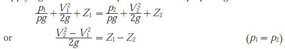
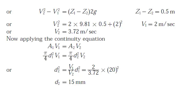
Explanation:













