Gate ME-2013 Question Paper With Solutions

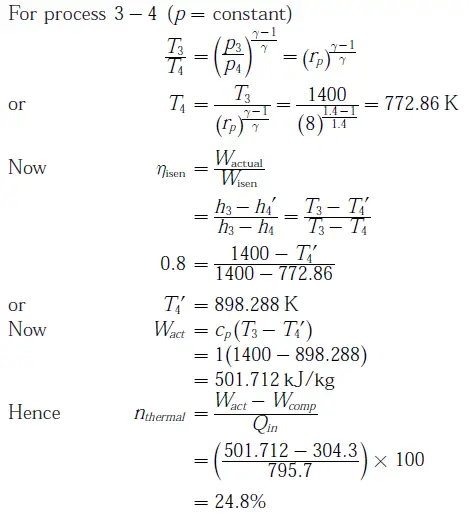
Q 55. Gate ME-2013 Question Paper With Solutions The thermal efficiency of the cycle in percentage (%) is

(A) 24.8

(B) 38.6

(C) 44.8

(D) 53.1

Answer: (A )

Explanation:

Gate ME-2013 Question Paper With Solutions

Gate ME-2013 Question Paper With Solutions

Learn More:   Gate ME-2016-2 Question Paper With Solutions

LEAVE A REPLY

Please enter your comment!
Please enter your name here