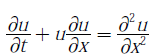
Q 13. The partial differential equation 
(A) linear equation of order 2
(B) non-linear equation of order 1
(C) linear equation of order 1
(D) non-linear equation of order 2
Answer: (D )
Explanation:
Q 13. The partial differential equation 
(A) linear equation of order 2
(B) non-linear equation of order 1
(C) linear equation of order 1
(D) non-linear equation of order 2
Answer: (D )
Explanation: