Q 36. The following surface integral is to be evaluated over a sphere for the given
steady velocity vector field defined with respect to a Cartesian
coordinate system having i, j and k as unit base vectors.

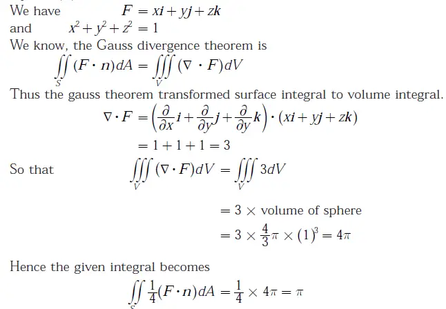
Explanation:
Q 36. The following surface integral is to be evaluated over a sphere for the given
steady velocity vector field defined with respect to a Cartesian
coordinate system having i, j and k as unit base vectors.

Explanation: